国家自然科学基金项目结题成果科普性介绍—探墙雷达系统
本项目来源于国家自然科学基金-重点国际(地区)合作研究项目“基于电磁传播特性的探墙雷达三维成像及目标特征提取方法(No. 61860206012)”,起止时间 2019.1-2023.12。本项目工作概括如下。
一、主要研究内容
本项目为满足建筑质量高分辨检测的需求,开展对墙内目标的高分辨三维成像与高精度特征提取识别理论与方法的研究。主要研究目标包括:研究墙体介质参数未知情况下的杂波生成模型,开发适应复杂介质的高精度杂波抑制算法,为后续目标成像奠定基础;研究介质参数未知下的高分辨成像算法,实现建筑体内小目标和细微结构的有效探测和辨别;研究识别介质内目标几何结构、强度等信息的特征提取方法,实现稳健准确的建筑体内目标识别。设计并且完成探墙雷达演示系统和样机系统的研制,并进行实验验证,为建筑体内隐藏质量问题的检测提供有力的技术手段。
2、研究方法及研究结果
2.1杂波抑制方法
2.1.1基于子空间的杂波抑制方法
本项目针对独立成分分析ICA及各类子空间分解方法进行仿真与实测结果分析,其基本思想是将接收数据分解成合适的子空间分量,然后选择含有目标信号的分量组成信号子空间,剩下的分量组成杂波子空间。此类算法的优点是,它的杂波模型对环境的要求不高,因此应用范围比较广。ICA将数据划分为统计独立的组成部分,而其他方法(例如PCA)则将数据划分为不相关的组成部分。统计独立性要考虑到比二阶矩更高的高阶矩,而高阶矩的统计特性要比去相关性强。在ICA模型中,假设观测数据X是通过线性过程X = AS从源数据S生成的,其中源S和混合矩阵A都是未知的。ICA算法能够以很少的假设从观测到的数据X估计源数据S和混合矩阵A。图1显示了一组模拟B扫描回波数据以及ICA算法进行杂波抑制处理的结果。


(a) |
(b) |
图1. (a) 模拟B扫描回波数据。(b) ICA算法处理结果
2.1.2基于小波变换主成分分析的自适应杂波抑制方法
本项目提出了基于小波变换主成分分析的自适应杂波抑制方法,该方法首先对原始B扫描进行二维小波变换,得到近似与细节图像分量,小波通过尺度伸缩可改变时间和频率的分辨率,可以实现在不同尺度下的时频域处理;然后对各分量图像进行主成分分析,并根据能量比准则去除一定贡献率特征值后进行回波数据重构;最后把经主成分分析处理后的近似与细节图像相加,从而去除杂波分量。所提方法把小波变换与主成分分析子空间投影相结合,具有更突出的杂波抑制效果。仿真和实测数据验证了该方法可以有效提升复杂环境杂波抑制效果。
实测结果基于中国电科22所LTD-2600探地雷达采集的实测数据对所提算法性能进行验证。采集得到的B扫描回波数据如图2(a)所示。为增强目标回波信号,基于所提算法对实测B扫描回波数据进行杂波抑制处理,其结果如图2(b)所示。


(a) |
(b) |
图2. (a) 沙坑场景实测B扫描回波数据。(b) 所提法对回波数据杂波抑制结果
2.1.3基于多分辨率的低秩稀疏分解杂波抑制方法
本项目提出一种基于多分辨率的低秩稀疏分解杂波抑制方法,图3为算法流程图。与经典的鲁棒非负矩阵分解算法相比,所提算法通过小波变换技术对回波数据进行多尺度分解,得到原始数据的不同分解次数下的近似子带、水平细节子带、垂直细节子带与对角细节子带,针对明显具有低秩稀疏特性的近似子带与水平细节子带采用鲁棒非负矩阵分解算法,提取目标稀疏部分,针对噪声与目标占明显特征的垂直细节子带与对角细节子带,采用小波软阈值去噪,最后对处理后的各信号分量进行小波逆变换来重构目标信号,实现了对回波数据的深层次分析:由于小波变换可以实现在不同尺度下的时频域处理,因此对于探地雷达回波数据的非平稳性能有较好的解释,加强数据中目标信号的保留度;根据低秩稀疏原理,对分解后的近似值与水平细节信号采用鲁棒非负矩阵分解算法,因此可以有效提高算法的鲁棒性;同时由于对垂直细节与对角细节信号进行小波软阈值去噪,滤除随机噪声,进一步提升了信杂比。图4(a)显示了一组地下非均匀土壤环境中的不规则疏松体仿真B扫描图,图4(b)是所提算法杂波抑制处理结果图。

图3算法流程图


(a) |
(b) |
图4. (a) 仿真B扫描回波数据。(b) 所提算法对回波数据杂波抑制结果
2.1.4基于子空间投影注意力网络的非均匀杂波抑制算法
本项目提出一种基于子空间投影注意力网络的非均匀杂波抑制算法。首先通过建立探地雷达接收信号模型为含有骨料的混凝土背景模型,构建基于随机骨料投放模型的混凝土非均匀介质数据集,该数据集在准确考虑复杂电磁传播过程的同时,提高了异构杂波去除的有效性;然后对原始数据集进行基于中值对消的杂波预处理,初步去除直达波与表面反射波,形成预处理后的最终数据集;构建针对非均匀杂波抑制的杂波基学习神经网络架构CBNet。具体为U-Net神经网络架构结合子空间投影注意力门(Subspace Projection Attention, SPA),如图5所示。在U-Net网络低特征图到高特征图的跳跃连接过程中添加SPA模块,基于数据驱动与投影机制对原始数据进行监督学习,该方法克服了传统子空间方法在有效选择目标组件方面的挑战,同时充分利用了网络内特征图的局部和全局空间信息,提供接近真实目标的子空间基矢量,减少信息损失的同时实现高信杂比的提升,有效抑制浅表层非均匀杂波。图6(a)显示了一组钢筋混凝土实测B扫描图,图6(b)是所提算法杂波抑制处理结果图。

图5 SPA模块示意图


(a) |
(b) |
图6.(a)实测数据回波示意图。(b)所提算法杂波抑制结果图。
2.2高分辨成像方法
2.2.1基于自聚焦技术的分层介质距离偏移成像方法
为解决RM算法对水平分层介质场景的成像问题,本项目将基于爆炸源反射模型,利用电磁波波场相移延拓解决水平分层介质电磁波传播不连续问题,提出适用于水平分层介质的RM成像算法。所提算法将RM算法适用性从均匀介质模型扩展到了水平分层介质模型中。由于分层距离偏移算法具有快速成像的优势,可以使用自聚焦技术(Autofocusingtechnology, AF)来估计介质的介电常数值,通过四个自聚焦参数对于成像结果的偏移程度做评估:高阶、熵、对比度和强度。最终实现未知介电常数情况下分层介质场景的快速准确成像。基于三层地下介质成像场景,给出所提分层介质RM成像算法流程图如图7所示。通过选取固定步长的介电常数对相同场景进行RM成像,并计算成像结果的自聚焦参数,当介电常数接近于真实值时,高阶、对比度、强度会达到极大值,熵会达到极小值,通过这些自聚焦度量可以估计介质的真实相对介电常数值,最终实现多层介质的快速准确成像。实验场景及成像处理结果如图8所示。

图7分层介质RM成像算法流程图


(a)(b)
图8.(a) 多目标分层介质二维场景模型。(b) 所提分层介质RM算法
2.2.2基于波场互相关的快速自聚焦频域成像方法
基于波场互相关的快速自聚焦频域成像算法基于时域RTM互相关成像条件,通过应用频域分层介质格林函数的平移不变性,避免了多次波场外推过程,减小了对计算和存储资源的需求,图9为基于波场互相关的快速频域成像算法流程图;通过引入时间相位补偿因子,采用最小熵准则实现了自聚焦成像。所提算法适用于近远场及分层介质场景成像;且具有成像分辨率高、复杂度低,收敛性稳定等优势,能够对探地雷达实测数据进行实时成像处理。此外,通过引入相位补偿因子并基于最小熵准则,所提算法解决了地下介质参数估计误差带来的成像散焦问题。实测数据场景如图10(a)所示,利用所提算法对上述场景实测C扫描回波数据进行偏移成像处理,得到成像结果如图10(b)所示。

图9 基于波场互相关的快速频域成像算法流程图


图10.(a)小目标透视成像雷达实测数据场景图。(b)成像结果
2.2.3基于距离偏移预处理和注意力机制的全波反演成像方法
在利用探地雷达进行目标探测及回波解译的过程中,常用的探地雷达偏移成像技术只能反映地下目标定性分析的结果,而在当前的应用中,为了满足后续进行目标分类及识别的需要,往往要对地下目标的形状和电参数等进行定量计算,因此利用全波反演技术对地下目标的介电常数分布进行准确计算就显得至关重要本项目提出了一种基于RMA预处理和注意力机制的全波反演成像方法,通过引入距离偏移(RMA) 算法对B-scan数据进行预处理,实现了回波数据空间和成像空间的对齐,通过向U-net中引入加性空间注意力门,提出了用于目标重构的GPRDtrNet,实现了对目标参数分布的准确反演,网络结构如图11所示。最后,通过仿真和实测数据分析,对所提算法的有效性进行了验证。图12显示了两组不同雷达采集下的实测数据及算法处理结果。

图11GPRDtrNet网络架构

图12. GPRDtrNet对LTD-2600和SIR-4000获取的实测数据的重建结果. (a) B-scan, (b)预处理结果, (c) GPRDtrNet重建结果.
2.3目标识别方法
2.3.1基于特征金字塔网络的地下目标检测方法
针对探地雷达地下目标检测问题,提出了一种特征金字塔网络结构如图13所示。整个网络通过跨路径的横向、自下而上和自上而下的相邻路径连接,以及第一条路径和其他所有路径之间的跳过连接来实现不同尺度的特征图融合。网络中为了跨路径实现自上而下的特征信息传递,引入AcrossDown连接方式,用最邻近插值的方法对高层特征图进行上采样,再使用3×3的卷积核与低层特征图进行特征融合,为了简化整个特征金字塔网格的训练流程,引入Skip连接方式,在第一个路径的相同层使用1×1的卷积和每个后续路径之间添加跳过连接。为了让信息流从低维特征传递到高维特征,使用SameUp连接方式代替特征金字塔中的AcrossUp连接方式。为了实现跨路径连接相同尺度特征,在每个特征图上使用1×1的卷积来投影特征并与相邻路径中的对应特征相融合,即图13中的Lateral的连接方式。图14展示了所提网络对于实测数据中不同材质的地下目标的检测能力。

图13特征金字塔网络结构图

图14网络对实测数据中空洞和金属目标的检测结果
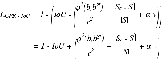
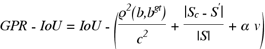
2.3.2基于多要素融合边界框损失函数的地下目标检测方法
在实测数据验证过程中,针对所提特征金字塔网络结构采用传统Focal loss作为分类任务损失函数时对于地下复杂密集排布目标检测效果较差问题,提出了改进的Smooth L1和IoU边界框回归损失函数为:
![]()
上述损失函数将真实框和预测框对应的尺寸大小、重叠率、距离等各项因素都考虑到边界框回归任务中,有效地提升了网络的检测性能。其对应的边界框回归损失函数可表示为:

图15展示了结合所提特征金字塔网路及GPR-IoU损失函数对于复杂密集排布目标的检测效果。

图15网络对复杂密集排布目标的检测结果
2.3.3基于拟合误差消除的探地雷达图像鲁棒双曲线识别模型
针对探地雷达图像中目标双曲线的自动识别和参数拟合问题,提出了一种基于拟合误差消除的鲁棒集成模型。首先,实现了由均值对消、基于梯度的自适应阈值算法和开闭操作组成的图像预处理方法,其中,均值对消抑制杂波和噪声,基于梯度的自适应阈值算法可以将B扫描图像转换为二值图像,然后通过开闭操作去除离散的噪声点;接下来,通过下开口扫描聚类算法识别具有向下开口的点集;之后,利用基于代数距离的双曲线拟合算法对这些点集进行直接拟合;最后,根据这些点集的拟合结果,基于拟合误差的剔除方法去除不具有完全双曲特征的下开口点集,从而实现B扫图像中所有双曲点集的识别和拟合。由上述方法组成的集成模型能够自动、稳健地从探地雷达B扫描图像中提取信息。图16展示了该算法对于实测数据的处理结果。

图16网络对实测数据双曲线的识别和拟合结果
2.3.4基于双极化探地雷达谐振特征提取的钢筋半径估计算法
针对实际工程应用中对钢筋尺寸的估计问题,提出了基于双极化探地雷达谐振特征提取的钢筋半径估计算法。首先,分析了利用谐振特征对于测量目标尺寸的基本原理,随后推导了钢筋目标的双极化散射特性,引入了双极化散射场相加的测量方式来消除钢筋散射场对于电场方向的敏感性,目标的双极化相加散射特性如图17所示,可见目标散射电场在某些特定频率出存在极大值,这些极大值对应的频率与目标的距离远近无关,而只与目标尺寸有关,被称为目标的自然谐振波长;最后,基于宽带双极化雷达的测量回波提取目标的自然谐振波长,并利用最小二乘法拟合谐振波长的数值获得对钢筋半径的准确估计。表1展示了该方法对于实测数据的测量结果。

图17钢筋目标的双极化相加散射特性
表1实测数据钢筋半径反演结果
空气中
|
|
|
|
|
|
真实半径(mm) |
12.5 |
||||
估计半径(mm) |
12.7 |
12.7 |
12.7 |
12.4 |
12.5 |
误差(mm) |
-0.2 (1.6%) |
-0.2 (1.6%) |
-0.2 (1.6%) |
0.1 (0.8%) |
0 |
沙子中
|
|
|
|
|
|
真实半径(mm) |
12.5 |
||||
估计半径(mm) |
12.2 |
12.3 |
12.3 |
12.5 |
12.6 |
误差(mm) |
0.3 (2.4%) |
0.2 (1.6%) |
0.2 (1.6%) |
0 |
0.1 (0.8%) |
2.3.5基于多维极化特征和集成学习的钢筋锈蚀辨识方法
针对实际工程应用中对钢筋锈蚀程度检测的问题,提出了基于多维极化特征和集成学习的钢筋锈蚀辨识方法。融合四种极化分解算法:H/A/Alpha分解,Freeman-Durden分解,极化相似性分解和Pauli分解,来综合描述钢筋的锈蚀程度;随后,利用集成学习的方法,将随机森林(RF)、多层感知机(MLP)和支持向量机(SVM)模型相结合,共同检测钢筋的锈蚀程度。所提出的方法的框架如图18所示。算法包括三个主要阶段:数据预处理、模型训练和模型评估。主要目标是利用集成学习方法并基于极化特征,开发一个稳健的钢筋腐蚀检测模型。值得注意的是,模型的输入由偏振特征数据集而不是FP-GPR数据表示,从而大大简化了模型的复杂性,并使所使用的参数数量最小化。图19展示了方法对于实测数据的处理结果。

图18钢筋目标的双极化相加散射特性

图19所提方法对实测样本分类的混淆矩阵
三、主要研究成果
本项目建立起来了完整的探墙雷达演示系统(图20)和样机系统(图21),可以对不同墙体和目标组合进行有效探测。发表SCI 检索论文22 篇,申报发明专利15 项。

图20实验室矢量网络分析数据采集演示系统,(a)三维导轨,(b)二维导轨
![]()
![]()


图21探墙雷达样机系统,(a)扫描探头,(b)显控终端